Mini pump for tubeless recommendations

I’m looking for a new mini pump to replace my old one. When I originally got the old one I was running 28 inner tubes. I’m now running 32 tubeless. I’m not actually sure the old mini pump would be able to pump my 32s :melting_face:

I like to attach the pump to the bike and leave it there. I would like one that is easy to attach and detach

I wasn’t considering am electric pump since it’s one more thing to charge.

And recommendations?

Have you tried?

2 Likes

Yeah, the volume should probably scale linearly with the diameter (since the tires are the same shape) so 1/7 ~ 15% greater volume.

FYI, going by Cateye’s tire circumference chart, the 32mm tire will have about 31% more volume than the 28mm, if we think of tubeless tire a circular torus (donut). The volume varies with the square of the tire width and linearly with radius of the tire as measured to the center of the tire.

2 Likes

Yep. It took a loooong time and the pressure was lower than I’d like. Main reason for replacing though is that the mini pump is old and not working reliably

Wasn’t the OP talking about going from. 700c (28" diameter) to a 32" wheel, not a 28mm to a 32mm wheel?

1 Like

I’m guessing the problem would be something to do with your valve if it is noticeably more difficult.

Yep, actually. So the increase in volume is going to be even bigger.

I love my Silca Tattico.

3 Likes

Another vote for the Tattico, best mini-pump I’ve ever used by a large margin.

2 Likes

32/28=8/7 so with the same cross section on the tire, it should be 15% more volume

+1 for Tattico for a hand pump, but really if you can stretch the budget an electric mini pump is vastly better for ease & speed of inflation

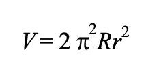
The equation for the volume of a circular torus is:

where r is the radius of the cross-section, i.e. half the width of the tire, and R is the radius of the torus and is measured from the center to the middle of the circular cross-section. For 700c tires going to a 32mm width from a 28mm results in a 31% increase in volume. If I round to the nearest integer for the numbers, I get: [(32/28)^2]*(359/354)= 1.32, i.e. a 32% increase. My original calculations didn’t use rounded numbers, so I ended up with a 31% increase those numbers. I calculated R based on circumferences in Cateye’s tire circumference chart.

1 Like

I think our disagreement is whether the R or the r is changing. In my reading, the OP said they go bigger wheels (R) not bigger tires (r)

Ah, now I see it was the size of the tire, so you’re right
Anyway, I still think if the pumping is more difficult, it has more to do with valves than volume. Given the switch to tubeless, I wonder if the valves aren’t a little clogged with sealant.

1 Like

My fault. I meant 28mm to 32mm :upside_down_face:

2 Likes

With hand pumps of equal length, you’re going to be trading pressure capability for volume. A smaller diameter piston allows more pressure for the same force, but each stroke will have less volume.
A 32 should require more volume and less pressure than a 28. When you say pumping is “more difficult” , do you mean requires more strokes or more force? More strokes makes sense, more force suggests a different problem.

To reduce the number of strokes needed, you’d want a higher-volume/lower pressure pump. For my gravel bike I use a Topeak Race rocket MT, but that would take a lot of force to reach road-bike pressures.
From my experience, the max pressure rating on pump requires a ridiculous amount of force to achieve. The comfortable working pressure is much lower.

TLDR version; Don’t overlook the cheap stuff.

Full response ..

Probably not very helpful given I don’t know who actually makes it (has been badged by many), but this is the best pump I have ever used (link is for illustration only). Cheap, has extending barrel for high pressure or high volume, fold out handle, and fit s or schrader without needing to turn any innards around.

When I worked in a shop, we did an inflation test on road and MTB, and the cheap pump was by far fastest and easiest to inflate both sizes to usable pressure (against Lezyne, Birzman, and Blackburn), but that was in the twenty teens.

Only downside is it looks cheap, and rattles if carried on to the bike frame (inner tube cut-off over the top of the handle solves that).

1 Like